Open 13+ pages gdp worksheet final vs intermediate goods answer in Google Sheet format. 13Gross Domestic Product GDP. Produced within a Country Production that takes place within a countrys borders. 15GDP is the value of the final goods and services produced. Read also goods and gdp worksheet final vs intermediate goods In order not to double count we only count final goods in GDP.
24The GDP Expenditures Equation. 20problem either by only counting value added ie.

Is This Part Of Gdp Gdp Is Made Up Of Many Different Factors While Working In Pairs Decide Whether You Think Each Economic Event Below Is Included Ppt Download 25GDP only includes final goods they already embody the value of the intermediate goods used in their production.
| Topic: 27Intermediate goodserviceis a good or service that is produced by one rm purchased by another rm as input of production of some nal goodservice Ford buys steel or tires intermediate goods as input for its cars nal good McDonalds buys beef intermediate good as input for its burgers nal good GDP includes only nal goods and services. Is This Part Of Gdp Gdp Is Made Up Of Many Different Factors While Working In Pairs Decide Whether You Think Each Economic Event Below Is Included Ppt Download Gdp Worksheet Final Vs Intermediate Goods |
| Content: Explanation |
| File Format: DOC |
| File size: 1.6mb |
| Number of Pages: 21+ pages |
| Publication Date: July 2018 |
| Open Is This Part Of Gdp Gdp Is Made Up Of Many Different Factors While Working In Pairs Decide Whether You Think Each Economic Event Below Is Included Ppt Download |
What Is GDP and How Do We Measure It.

The difference between the final sale value of the car and the sum of the prices of all the intermediate components bought by the car firm or by only counting sales of final goods. For example if you are an artist commissioned to paint a mural for your student. 5Value is calculated for GDP. These goods are also known as consumer goods and are produced for the purpose of direct consumption by the end consumer. Final goods are referred to as those goods which do not require further processing. Double counting can occur in other ways.
On Economics Lessons And Activities Value added approach to calculating GDP.
| Topic: A neither intermediate nor final goods. On Economics Lessons And Activities Gdp Worksheet Final Vs Intermediate Goods |
| Content: Answer |
| File Format: PDF |
| File size: 725kb |
| Number of Pages: 13+ pages |
| Publication Date: October 2017 |
| Open On Economics Lessons And Activities |

Worksheet For Counting Gdp Final goods refer to those goods which are used either for consumption or for investment.
| Topic: Why is the distinction between intermediate and final goods important for measuring GDP. Worksheet For Counting Gdp Gdp Worksheet Final Vs Intermediate Goods |
| Content: Learning Guide |
| File Format: PDF |
| File size: 2.3mb |
| Number of Pages: 40+ pages |
| Publication Date: February 2019 |
| Open Worksheet For Counting Gdp |

Gdp Worksheet Docx Economics Gdp Worksheet Name What U2019s In Gdp A Ponents Of Gdp Fill In The Blank With The Ponent Of Gdp Each Of These Items Course Hero Measuring the size of the economy.
| Topic: If the government counts both the value of peoples total income. Gdp Worksheet Docx Economics Gdp Worksheet Name What U2019s In Gdp A Ponents Of Gdp Fill In The Blank With The Ponent Of Gdp Each Of These Items Course Hero Gdp Worksheet Final Vs Intermediate Goods |
| Content: Explanation |
| File Format: PDF |
| File size: 2.1mb |
| Number of Pages: 17+ pages |
| Publication Date: December 2019 |
| Open Gdp Worksheet Docx Economics Gdp Worksheet Name What U2019s In Gdp A Ponents Of Gdp Fill In The Blank With The Ponent Of Gdp Each Of These Items Course Hero |
![]()
Real Vs Nominal Gdp Practice Pdf Free Download These goods and services have been purchased for final use and not for resale or further processing.
| Topic: Intermediate goods and services are ___ and include items such as ___. Real Vs Nominal Gdp Practice Pdf Free Download Gdp Worksheet Final Vs Intermediate Goods |
| Content: Synopsis |
| File Format: Google Sheet |
| File size: 2.6mb |
| Number of Pages: 55+ pages |
| Publication Date: December 2018 |
| Open Real Vs Nominal Gdp Practice Pdf Free Download |

Grade 11 Economics Gdp Worksheet Which of these are counted as US.
| Topic: 3Used as raw material for production of final goods. Grade 11 Economics Gdp Worksheet Gdp Worksheet Final Vs Intermediate Goods |
| Content: Analysis |
| File Format: PDF |
| File size: 1.5mb |
| Number of Pages: 21+ pages |
| Publication Date: April 2018 |
| Open Grade 11 Economics Gdp Worksheet |
![]()
Gdp Try Your Skill At Counting Gdp It Takes Chegg They are included in both national and domestic income.
| Topic: Calculate GDP using the Value-Added Approach Income Approach and Expenditure Approach in order to understand how and why GDP should be the same no matter which method is used. Gdp Try Your Skill At Counting Gdp It Takes Chegg Gdp Worksheet Final Vs Intermediate Goods |
| Content: Synopsis |
| File Format: DOC |
| File size: 3.4mb |
| Number of Pages: 30+ pages |
| Publication Date: June 2017 |
| Open Gdp Try Your Skill At Counting Gdp It Takes Chegg |
![]()
Meeann On Math In 2021 Economics Lessons Teaching Economics Economics Notes Display Slide 4.
| Topic: How does GDP differ from GNP. Meeann On Math In 2021 Economics Lessons Teaching Economics Economics Notes Gdp Worksheet Final Vs Intermediate Goods |
| Content: Explanation |
| File Format: PDF |
| File size: 3mb |
| Number of Pages: 11+ pages |
| Publication Date: April 2021 |
| Open Meeann On Math In 2021 Economics Lessons Teaching Economics Economics Notes |

Gdp Worksheet Name 4They are unfinished goods.
| Topic: Intermediate goods are goods used in the production process that are not final goods and services. Gdp Worksheet Name Gdp Worksheet Final Vs Intermediate Goods |
| Content: Analysis |
| File Format: PDF |
| File size: 1.7mb |
| Number of Pages: 55+ pages |
| Publication Date: August 2018 |
| Open Gdp Worksheet Name |

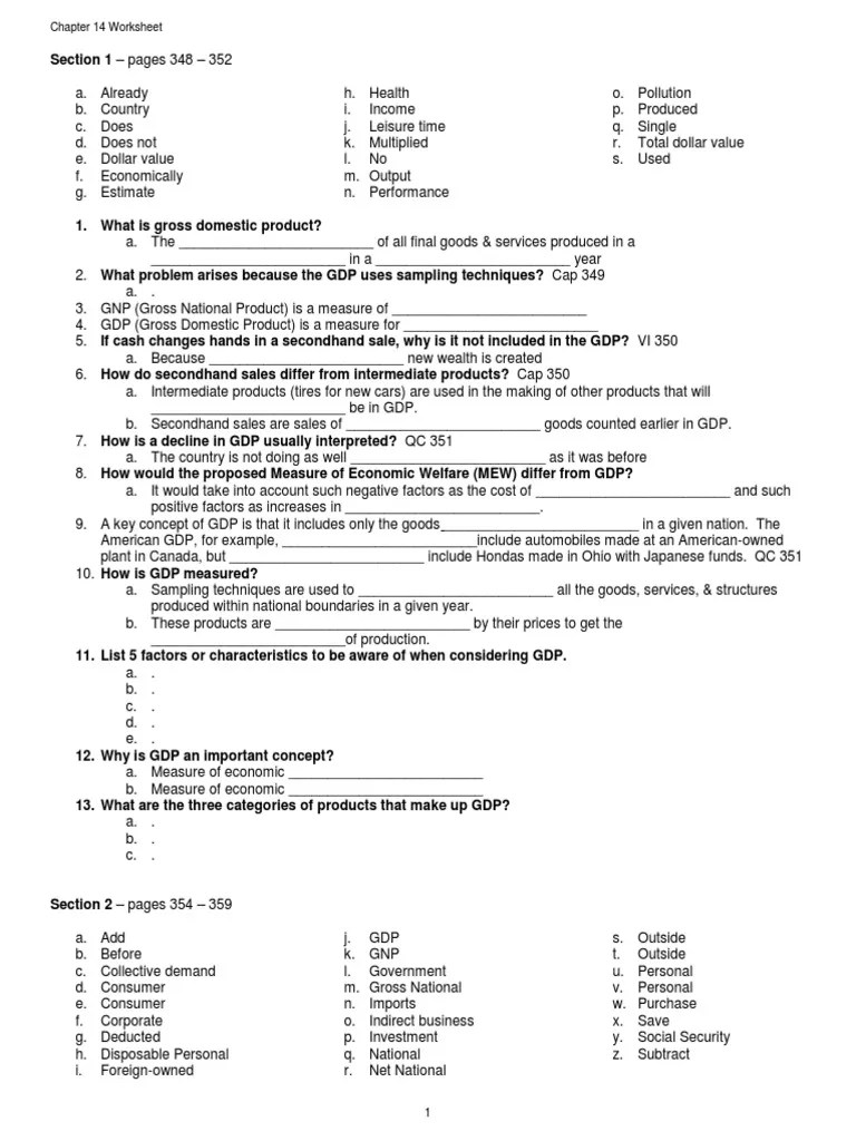
Chapter 14 Worksheet Economics Index Economics Gross Domestic Product C monetary value of all economic resources used in producing a years output.
| Topic: GDP only includes final goods in order to avoid double counting. Chapter 14 Worksheet Economics Index Economics Gross Domestic Product Gdp Worksheet Final Vs Intermediate Goods |
| Content: Answer Sheet |
| File Format: PDF |
| File size: 1.8mb |
| Number of Pages: 26+ pages |
| Publication Date: June 2021 |
| Open Chapter 14 Worksheet Economics Index Economics Gross Domestic Product |

Gdp Worksheet Docx Economics Gdp Worksheet Name What U2019s In Gdp A Ponents Of Gdp Fill In The Blank With The Ponent Of Gdp Each Of These Items Course Hero Final goods are referred to as those goods which do not require further processing.
| Topic: These goods are also known as consumer goods and are produced for the purpose of direct consumption by the end consumer. Gdp Worksheet Docx Economics Gdp Worksheet Name What U2019s In Gdp A Ponents Of Gdp Fill In The Blank With The Ponent Of Gdp Each Of These Items Course Hero Gdp Worksheet Final Vs Intermediate Goods |
| Content: Solution |
| File Format: DOC |
| File size: 1.8mb |
| Number of Pages: 27+ pages |
| Publication Date: January 2020 |
| Open Gdp Worksheet Docx Economics Gdp Worksheet Name What U2019s In Gdp A Ponents Of Gdp Fill In The Blank With The Ponent Of Gdp Each Of These Items Course Hero |
![]()
A Brave Adventurous Woman Worksheet Free Esl Printable Worksheets Made Teachers Adventurous Women Brave Women
| Topic: A Brave Adventurous Woman Worksheet Free Esl Printable Worksheets Made Teachers Adventurous Women Brave Women Gdp Worksheet Final Vs Intermediate Goods |
| Content: Answer Sheet |
| File Format: PDF |
| File size: 1.9mb |
| Number of Pages: 30+ pages |
| Publication Date: February 2020 |
| Open A Brave Adventurous Woman Worksheet Free Esl Printable Worksheets Made Teachers Adventurous Women Brave Women |
Its really easy to get ready for gdp worksheet final vs intermediate goods Chapter 14 worksheet economics index economics gross domestic product worksheet for counting gdp on economics lessons and activities meeann on math in 2021 economics lessons teaching economics economics notes gdp worksheet docx economics gdp worksheet name what u2019s in gdp a ponents of gdp fill in the blank with the ponent of gdp each of these items course hero real vs nominal gdp practice pdf free download is this part of gdp gdp is made up of many different factors while working in pairs decide whether you think each economic event below is included ppt download a brave adventurous woman worksheet free esl printable worksheets made teachers adventurous women brave women


FOLLOW THE Learn with Hudson AT TWITTER TO GET THE LATEST INFORMATION OR UPDATE
Follow Learn with Hudson on Instagram to get the latest information or updates
Follow our Instagram